-
French homes overrun by ladybird invasion
Invasive Asian ladybird has been spotted in both France and UK amid food source boom
-
Flu vaccinations start in France: which areas are most affected?
Both flu and Covid-19 are starting to spread across the country, with the vulnerable particularly urged to get vaccinated
-
What is included in France’s 2026 draft budget - and what if no agreement?
Change to tax allowance for pensioners is among proposals
French medics reject claim that vaccination increases Covid risk
Controversial Marseille specialist Professor Didier Raoult made the assertion in a recent video

People who have just received a Covid vaccination “are at greater risk of being infected with the disease”, controversial Marseille specialist Professor Didier Raoult has claimed in a recent video.
Professor Raoult is an infectious diseases specialist at the l'Institut hospitalo-universitaire de Marseille. He is known for his controversial medical claims, and for publishing online videos on his latest work or theories.
He came to public attention in particular at the start of the Covid-19 pandemic, when his work on the Covid ‘treatment’ hydroxychloroquine hit headlines; and he has described himself as “a renegade”.
Read more: Marseille professor seeking to cure Covid-19
The new video, uploaded just over a week ago, has been spreading quickly among anti-vaxx groups, and has been viewed more than 1.3million times.
In the 21-minute talk, Professor Raoult claims that people who have just been vaccinated have more risk of developing Covid-19 than those who have not been vaccinated. He does not specify whether he is referring to people who have received just one of the two injections required for full coverage with most vaccines, or both.
Scientists disagree
But scientists speaking to Le Figaro in a ‘fact check’ article have disagreed with most of Professor Raoult’s claims.
Professor Daniel Floret, vice-president of the vaccination authority la Commission technique des vaccinations de la Haute autorité de Santé said: “No study has shown an excess of cases among vaccinated groups, nothing similar has been observed in large general population studies.”
Some scientists questioned even said they did not wish to comment on such “unfounded” comments. Professor Jean-Daniel Lelièvre, head of the immunology clinic and of infectious diseases at the CHU Henri Mondor in Créteil, said that Professor’s Raoult’s latest claim was not based on a scientific study.
He said: “I do not comment on non-published data. As far as the real-life data shows, vaccinations reduce symptomatic infections [of Covid-19].”
‘Vaccines are not magic’
However, Professor Alain Fischer, pediatrician, immunologist, and president of the government’s vaccination campaign in le Conseil d'orientation de la stratégie vaccinale anti Covid-19, said that Professor Raoult is not completely wrong.
It is possible for people to contract Covid in the days following their immunisation, especially after only one injection. But this phenomenon is not “new” or “very strange”, in contrast to Professor Raoult’s claims, Professor Fischer explained.
He said: “It is absolutely expected that there will be people who fall ill after the first dose. Several studies show that between the moment where one receives the first dose and the moment when one is protected, there is some time.
“Around 12 days for the mRNA vaccines, and three weeks for AstraZeneca. During this interval, you can get infected.”
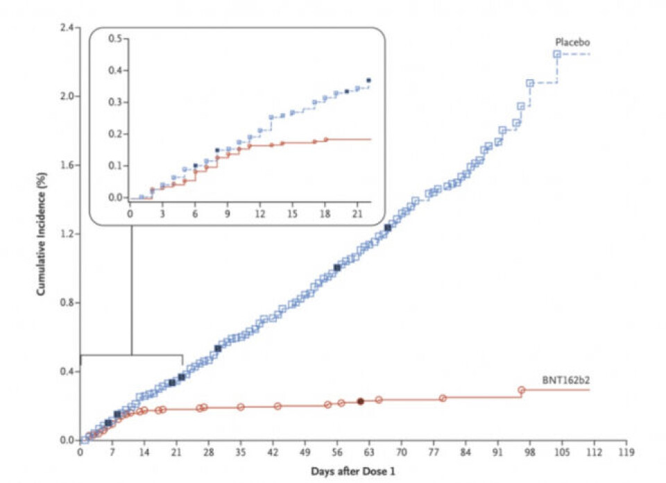
Data from the Phase 3 clinical trials for the Pfizer vaccine, across 42,000 people, clearly show that until the 14th day after the first injection, infection rates are the same for people who have been injected, and people who have not (the placebo control group).
After 14 days, the vaccinated group then registers no new infections, compared to the control group, who continued to become infected at an exponential rate.

Credit: Safety and Efficacy of the BNT162b2 mRNA Covid-19 Vaccine, The New England Journal of Medicine, December 31, 2020 / LeFigaro.fr
Overall, this means that the vaccines do not have an immediate effect.
Professor Fischer said: “It’s not magic. They do not protect from the second you receive the injection. This reflects the fact that the immune protection is put in place gradually. That is the case for vaccinations against Covid, but also for all other [vaccines]!”
So, while it is possible to become infected in the 10 days following injection, this is not – contrary to the claims made by Professor Raoult – as a result of being vaccinated in the first place.
Professor Fischer said: “Maybe some people who get the vaccination, or who are preparing to get it, maybe relax a little [when it comes to taking precautions], but that’s just a hypothesis. This is just an opportunity to remind people that they must continue to protect themselves in the days after [vaccination].”
People can also become infected after the second dose, although this appears to be much rarer. Professor Fischer explained that in medicine, there is no such thing as “100% effectiveness”.
He said: “Protection offered by vaccines is not total; it is in the order of 90-95% for mRNA and the AstraZeneca [jab], for severe forms of the illness.”
This is not the first time that Professor Raoult’s pronouncements on Covid-19 have come under scrutiny.
In addition to his controversial hydroxychloroquine work, in February 2020 he said that the spread of a pandemic was very unlikely, and in the same month said that Covid-19 was “probably the easiest respiratory infection to treat”.
In April 2020, he said that the pandemic would be over by May 2020, and said that there would be no second wave. In September 2020, he said that the virus had become less dangerous, but two weeks later said the opposite.
On May 9, 2020, he told Paris Match: “The likelihood that a vaccine for an emerging illness would become a public health tool is close to zero. Finding a vaccine is a stupid challenge.”
Related stories
Controversial prof lambasts French Covid-19 strategy
Controversial French prof: ‘I could have halved Covid death’
WHO halts trials of controversial drug hydroxychloroquine
French researcher posts successful Covid-19 drug trial